COMPARAÇÃO DOS MODELOS DE DARCY, FORCHHEIMER E BARREE E CONWAY NA SIMULAÇÃO DE RESERVATÓRIOS DE GÁS
Palavras-chave:
Equação de Forchheimer, Escoamento de Gás, Fluxo Não-Darcy, Método de Diferenças Finitas, Modelo de Barree e ConwayResumo
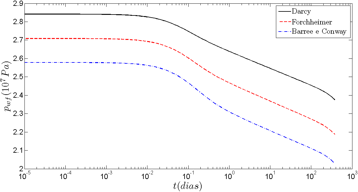
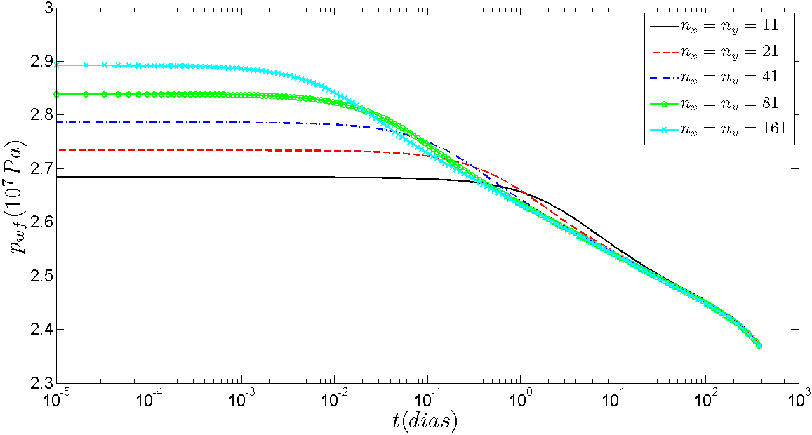
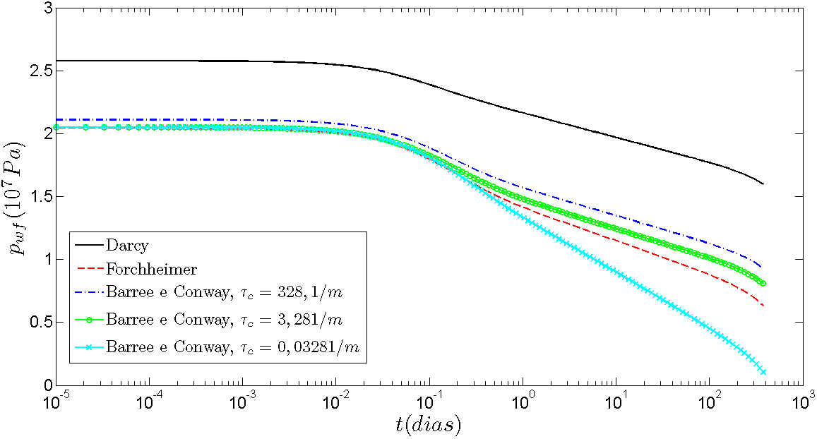
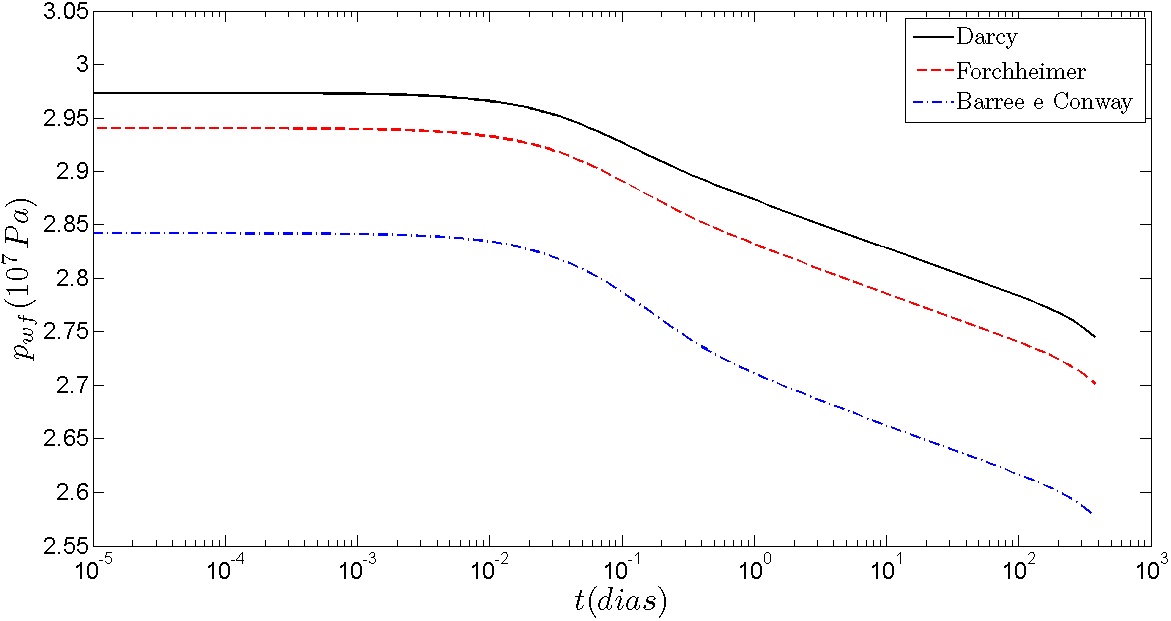
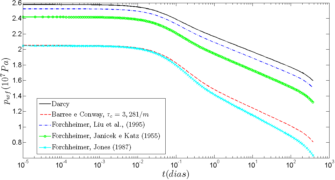
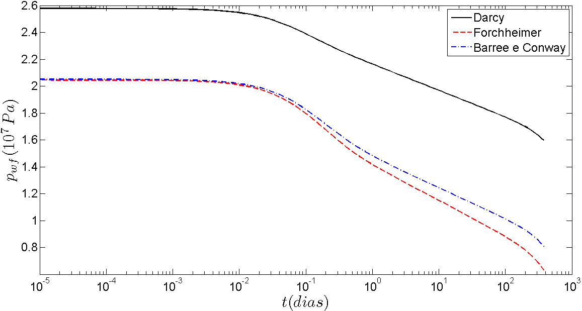
Neste trabalho, um simulador numérico tridimensional de reservatórios de hidrocarbonetos foi utilizado com o intuito de comparar os resultados obtidos com diferentes modelos para a equação de momentum, e considerando o escoamento de gases em meios porosos heterogêneos. A conhecida lei de Darcy, válida para escoamentos a baixo número de Reynolds, foi aplicada e os efeitos inerciais foram modelados usando: i) a equação de Forchheimer e ii) o modelo de Barree e Conway. O conjunto de equações governantes, para o escoamento estudado, é formado pela conservação da massa, pelo balanço da quantidade de movimento linear e por uma equação de estado. Uma equação diferencial parcial não-linear para a variável pressão é obtida, a partir das equações de balanço e de estado, e é discretizada via o método de Diferenças Finitas com uma formulação totalmente implícita no tempo. O sistema de equações algébricas resultante do processo de dicretização é resolvido numericamente por um método do tipo Gradientes Conjugados com pré-condicionamento, apropriado para matrizes simétricas. As soluções, obtidas para a pressão no poço produtor de gás, mostraram a influência das diferentes equações de momentum na modelagem do escoamento e reforçaram a necessidade de uma caracterização de reservatórios acurada, para que modelos apropriados para o uso em escoamentos inerciais sejam aplicados no gerenciamento da produção de hidrocarbonetos.Downloads
Downloads
Arquivos adicionais
Publicado
Edição
Seção
Licença
Autores que publicam nesta revista concordam com os seguintes termos:
I. O autor detém o copyright da sua contribuição, que abrange todos os objetos digitais que podem resultar na publicação eletrônica subsequente ou de distribuição. Após a aceitação da obra, o autor concede definitivamente à Editora o direito de primeira publicação da obra.
II. Ao enviar sua contribuição à REUCP, o autor assume e garante que:
1. Não foi previamente publicada nem está sendo avaliada por outra editora ou veículo de comunicação;
2. Não está pendente de revisão, exceto das eventualmente exigidas durante o processo editorial da REUCP;
3. As opiniões emitidas em sua obra são de sua inteira e exclusiva responsabilidade;
4. A obra não contém declaração falsa ou violação de trabalhos ou de direitos de terceiros;
5. A obra não contém difamação, invasão de privacidade ou assunto ilegal;
6. A revista poderá submeter seu original à avaliação de pessoas qualificadas e conservará sigilo e anonimato dos seus avaliadores/pareceristas;
7. A revista tem o direito de efetuar, em seu original, alterações de ordem normativa, ortográfica e gramatical, com vistas a manter o padrão culto da língua, respeitando, porém, o estilo autoral;
8. Concorda em indenizar a Editora UCP por violação de direito autoral ou qualquer outro processo movido por terceiros decorrente da publicação de seu trabalho (artigo ou resenha) na REUCP.
9. Concede à REUCP e à Editora UCP, bem como seus agentes, o direito não exclusivo e perpétua licença para publicar, arquivar e tornar acessível a obra, no todo ou em parte, em todas as formas de mídia agora ou no futuro conhecidas sob uma Licença Creative Commons 3.0 ou seu equivalente, que, para evitar dúvidas, permite que outros copiem, distribuam a obra sob as condições descritas no site da Creative Commons.
10. A pedido da Editora, concorda em fornecer prontamente à Editora UCP, às expensas do próprio autor, prova escrita das permissões, licenças e autorizações para uso de material de terceiros incluídos em sua contribuição (artigo ou resenha) à REUCP.
III. Ao enviar sua contribuição à REUCP, o autor concorda com os termos desta declaração.