NUMERICAL STORAGE ATTENUATION USING GRID REFINEMENT ON THE PRODUCTION SIMULATION IN SHALE GAS RESERVOIRS / ATENUAÇÃO DA ESTOCAGEM NUMÉRICA USANDO REFINAMENTO DE MALHA NA SIMULAÇÃO DA PRODUÇÃO EM RESERVATÓRIOS DO TIPO SHALE GAS
Palavras-chave:
Numerical storage, horizontal well, shale gas, reservoir simulation, grid refinement. / Estocagem Numérica, Poço Horizontal, Shale Gas, Simulação de Reservatórios, Refinamento de MalhaResumo
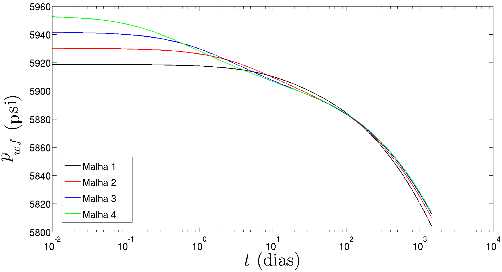
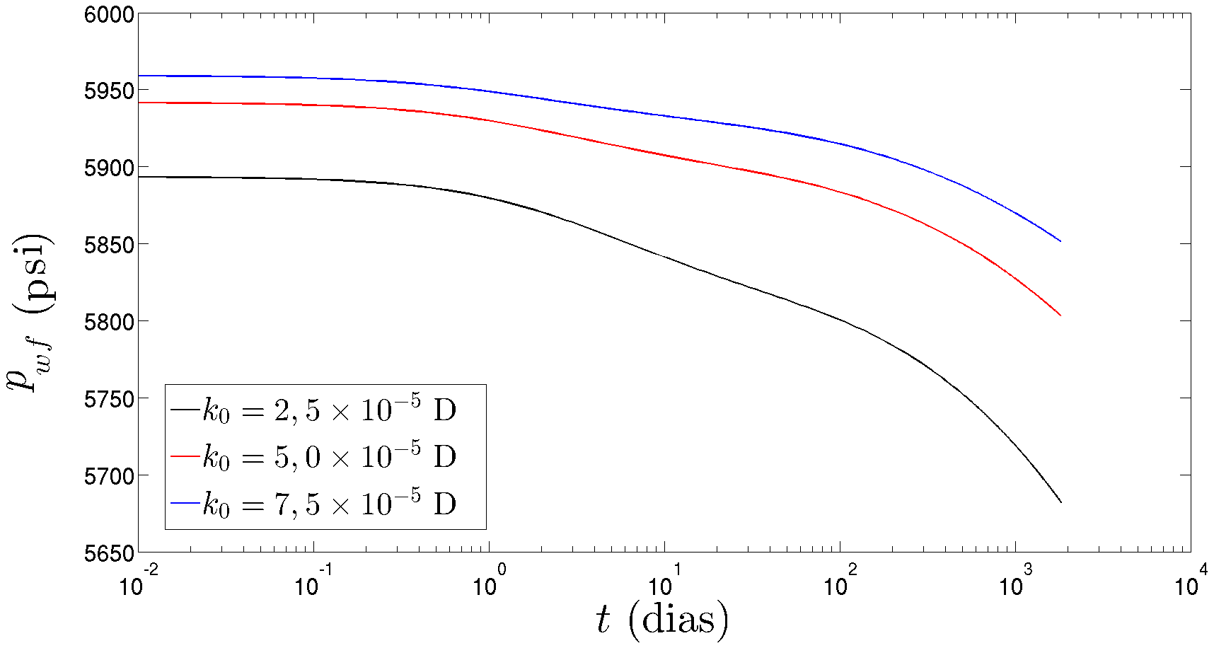
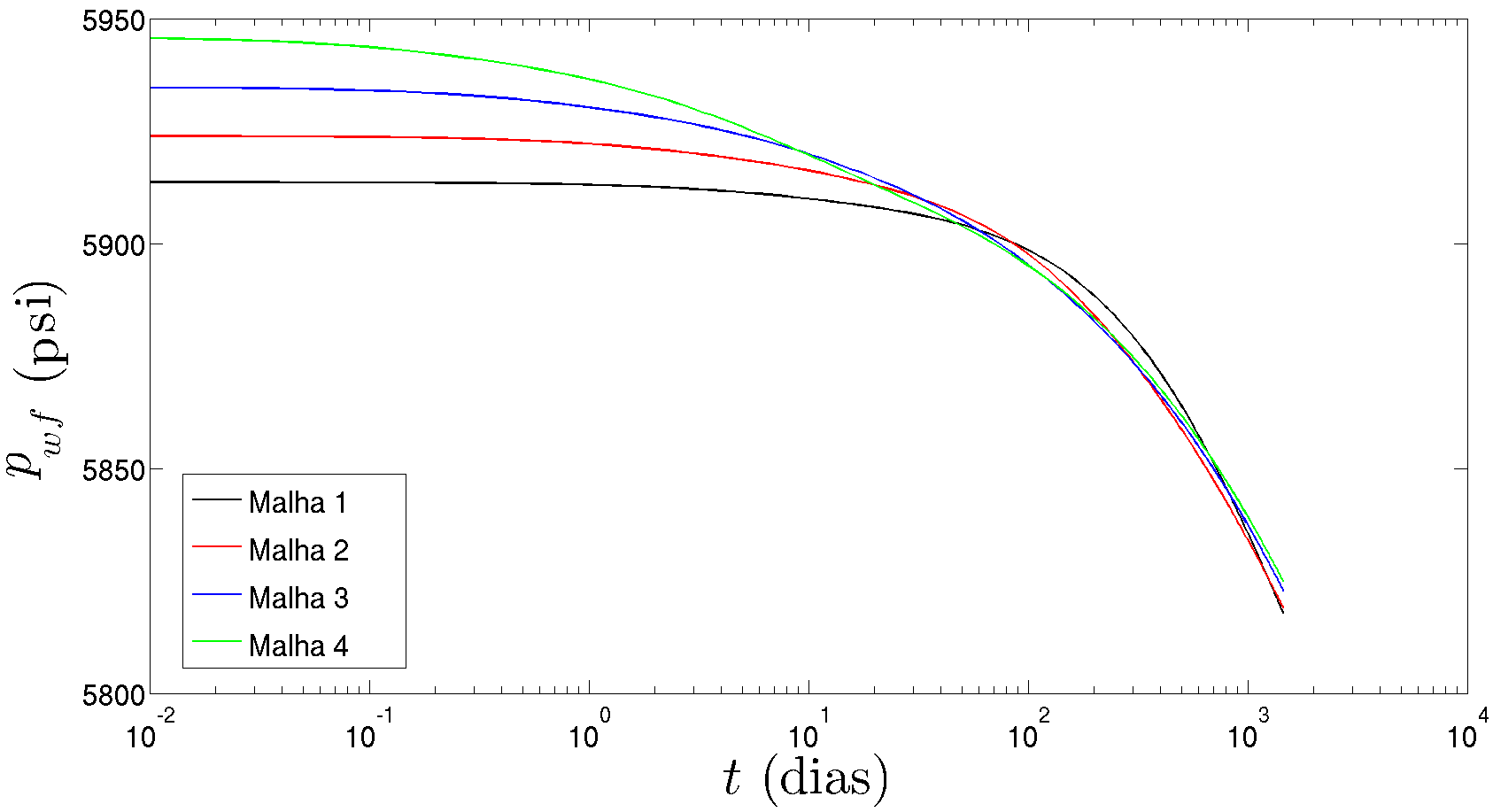
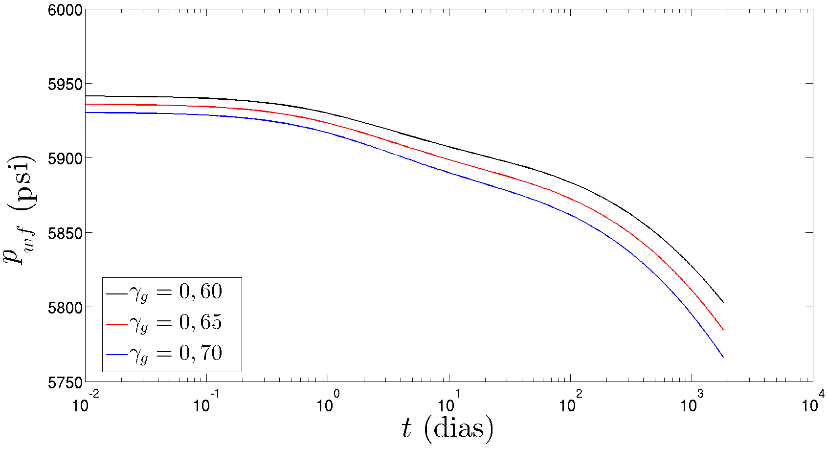
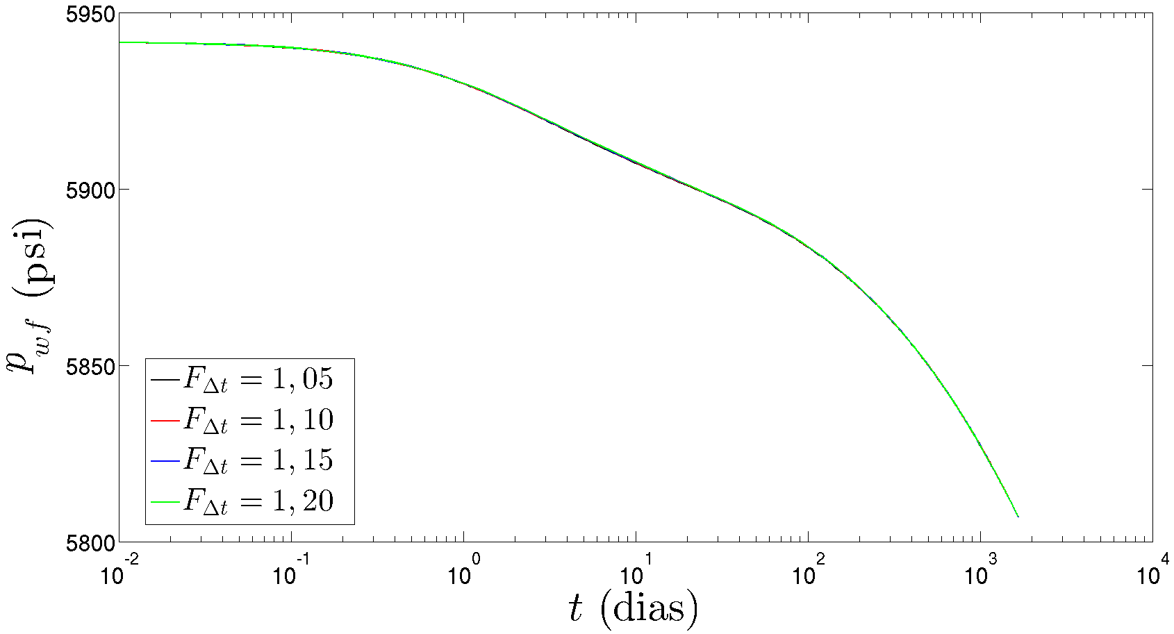
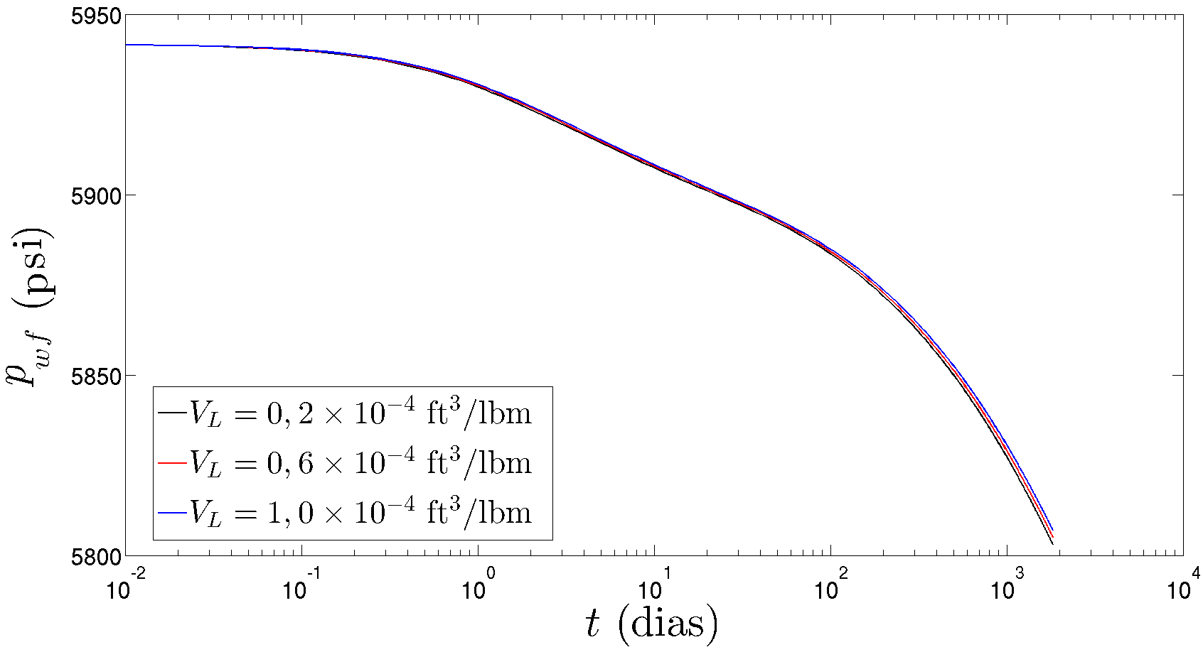
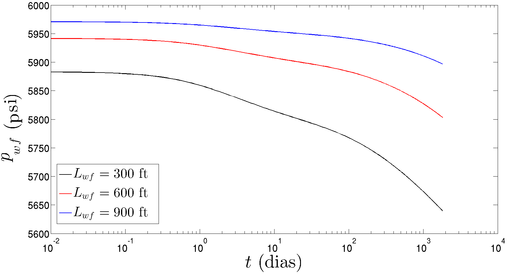
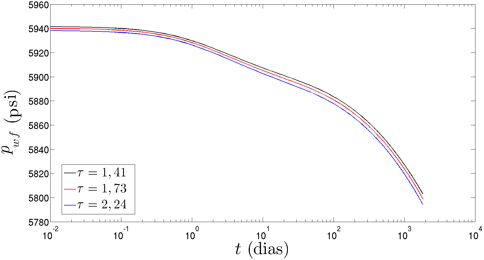
In this work, we use the Finite Differences Method and a well-reservoir (horizontal well) coupling technique based on the Peaceman equivalent radius calculation for the numerical simulation of natural gas production in shale gas formations. Due to the characteristics of shale gas reservoirs and the well-reservoir coupling model used, a numeric artifact (or numerical storage) appears in the initial instants of time. To attenuate the numerical artifact, we use mesh refinement near the horizontal well. Phenomena that favor the recovery of natural gas in shale reservoirs, such as gas slippage and adsorption, were also incorporated into the computational model. We performed sensitivity analysis studies which adequately capture the influence of these effects on the pressure behavior of the producing well. / Neste trabalho, emprega-se o Método das Diferenças Finitas e uma técnica de acoplamento poço-reservatório (poço horizontal) baseada no cálculo do raio equivalente de Peaceman, para a simulação numérica da produção de gás natural em formações do tipo shale. Devido às características dos reservatórios do tipo shale gas e do modelo de acoplamento poço-reservatório utilizado, um artefato numérico (ou estocagem numérica) aparece nos instantes iniciais. No intuito de atenuar a estocagem numérica, um refinamento de malha é utilizado ao redor do poço horizontal produtor. Os fenômenos que favorecem a recuperação de gás natural, em reservatórios do tipo shale, como, por exemplo, o escorregamento e a adsorção de gás, também foram incorporados ao modelo computacional. A influência desses efeitos físicos no comportamento da pressão do poço produtor foi adequadamente capturada nos estudos de análise de sensibilidade realizados.Downloads
Downloads
Arquivos adicionais
Publicado
Edição
Seção
Licença
Autores que publicam nesta revista concordam com os seguintes termos:
I. O autor detém o copyright da sua contribuição, que abrange todos os objetos digitais que podem resultar na publicação eletrônica subsequente ou de distribuição. Após a aceitação da obra, o autor concede definitivamente à Editora o direito de primeira publicação da obra.
II. Ao enviar sua contribuição à REUCP, o autor assume e garante que:
1. Não foi previamente publicada nem está sendo avaliada por outra editora ou veículo de comunicação;
2. Não está pendente de revisão, exceto das eventualmente exigidas durante o processo editorial da REUCP;
3. As opiniões emitidas em sua obra são de sua inteira e exclusiva responsabilidade;
4. A obra não contém declaração falsa ou violação de trabalhos ou de direitos de terceiros;
5. A obra não contém difamação, invasão de privacidade ou assunto ilegal;
6. A revista poderá submeter seu original à avaliação de pessoas qualificadas e conservará sigilo e anonimato dos seus avaliadores/pareceristas;
7. A revista tem o direito de efetuar, em seu original, alterações de ordem normativa, ortográfica e gramatical, com vistas a manter o padrão culto da língua, respeitando, porém, o estilo autoral;
8. Concorda em indenizar a Editora UCP por violação de direito autoral ou qualquer outro processo movido por terceiros decorrente da publicação de seu trabalho (artigo ou resenha) na REUCP.
9. Concede à REUCP e à Editora UCP, bem como seus agentes, o direito não exclusivo e perpétua licença para publicar, arquivar e tornar acessível a obra, no todo ou em parte, em todas as formas de mídia agora ou no futuro conhecidas sob uma Licença Creative Commons 3.0 ou seu equivalente, que, para evitar dúvidas, permite que outros copiem, distribuam a obra sob as condições descritas no site da Creative Commons.
10. A pedido da Editora, concorda em fornecer prontamente à Editora UCP, às expensas do próprio autor, prova escrita das permissões, licenças e autorizações para uso de material de terceiros incluídos em sua contribuição (artigo ou resenha) à REUCP.
III. Ao enviar sua contribuição à REUCP, o autor concorda com os termos desta declaração.